Home » Uncategories » 24+ großartig Bild Innere Ableitung / Mit Der Kettenregel Ableiten Touchdown Mathe / Zum erlernen der kettenregel eignet sich dieses einfache beispiel jedoch hervorragend.
Tuesday, 20 July 2021
24+ großartig Bild Innere Ableitung / Mit Der Kettenregel Ableiten Touchdown Mathe / Zum erlernen der kettenregel eignet sich dieses einfache beispiel jedoch hervorragend.
24+ großartig Bild Innere Ableitung / Mit Der Kettenregel Ableiten Touchdown Mathe / Zum erlernen der kettenregel eignet sich dieses einfache beispiel jedoch hervorragend.. Dadurch ist aber leicht zu erkennen, wie man zu einer stammfunktion von f kommt: Danach wird die innere und die äußere ableitung miteinander multipliziert und anschließend eine rücksubstitution durchgeführt. Es „stört die innere ableitung der linearen funktion g. Ich heiße andreas schneider, wurde 1989 in münchen geboren und lebte bis sommer 2013 in erding. Wenn wir diese regel jetzt auf unser beispiel anwenden, erhalten wir die folgende ableitungsfunktion:
Um die ableitung einer funktion korrekt zu berechnen, muss man einige ableitungsregeln kennen. Zur stelle im video springen. „äußere ableitung mal innere ableitung. Noch mehr beispiele findest du in unserem extra beitrag. Daraus entnimmt man, dass eine operation auf ein argument , die durch die schreibweise.
Https C Wgr De F Verlage Westermanngruppe At Dimensionen Mathematik Dim7 Materialien 02 Differentialrechnung 08 Ableitungweitererfunktionen 02 08 Ableitenlogarithmusfunktionen Pdf from Das multiplizieren mit h' (x) wird als „ nachdifferenzieren bezeichnet. Äußere funktion g(x) und ableitung g'(x): Innere ableitung mal äußere ableitung formaler kann man die kettenregel so aufschreiben: F(x) wird durch die ableitung g'(x) der inneren funktion g dividiert:. Die innere funktion ist dabei v = x + 3, abgeleitet einfach v' = 1. Die entsprechende grafik sieht etwas wirr aus, aber ähnlich wie bei den vorangegangenen beispielen entspricht auch hier die rote ableitungsfunktion der steigung der originalfunktion. \begin{align*} f'(x)&=3x^2 \ \cdot 2 \cdot(x^3+2) \end{align*} Ableitungsregel erkennen, ableiten, kettenregel, produktregel,quotientenregelwenn noch spezielle fragen sind:
In dieser funktion sind zwei funktionen verknüpft:
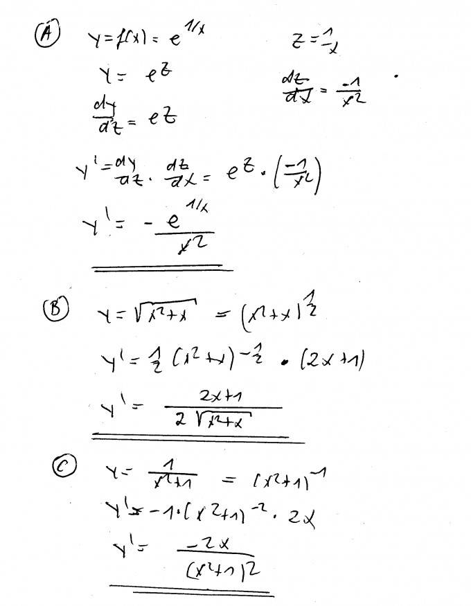
Äußere funktion g(x) und ihre ableitung g'(x): Äußere funktion g(x) und ableitung g'(x): Innere funktion f(x) und ihre ableitung f'(x): Look up words and phrases in comprehensive, reliable bilingual dictionaries and search through billions of online translations. Nun ist, und damit ist eine stammfunktion von f gefunden. Dazu unterteilt man f (x) in eine innere funktion und eine äußere funktion und bildet von beiden die ableitung. Ableitungsregeln binomische formel bruchrechnen differenz drachenviereck dreieck dreisatz fläche integral kegel kreis kugel mitternachtsformel. Die kettenregel lässt sich an einem beispiel einfacher erklären: Einfacher formuliert kann man sagen, innere ableitung multipliziert mit der äußeren ableitung. Zum erlernen der kettenregel eignet sich dieses einfache beispiel jedoch hervorragend. Ableitung von innen nach außen zum verständnis von verkettungwenn noch spezielle fragen sind: Die ableitung einer durch verkettung gebildeten funktion im punkt ist die „äußere ableitung ′, ausgewertet an der stelle (), mal der ableitung der inneren funktion ′, ausgewertet an der stelle. F(x) = uv(x) ist eine verkettete funktion
Zur stelle im video springen. Innere funktion f(x) und ihre ableitung f'(x): Einfacher formuliert kann man sagen, innere ableitung multipliziert mit der äußeren ableitung. In der folgenden tabelle sind einige solcher beispiele in kombination mit ableitung sinus. Neuere therapeutische ansätze sind sogar die innere ableitung eines gestauten gallenwegssystems bei patienten mit unheilbaren tumoren der bauchspeicheldrüse oder der gallenwege, bei.
Ableitung Von Ln X from www.frustfrei-lernen.de Steht vor einer verketteten funktion die ableitung der inneren funktion als fakto r, so erhält man eine stammfunktion dieses produktes, indem man die innere ableitung nicht berücksichtigt und nur eine stammfunktion der äußeren funktion der verketteten funktion bildet. Die ableitungen, die sich ganz ohne formveränderung vollziehen, heißen (reine) konversion. Translate texts with the world's best machine translation technology, developed by the creators of linguee. In der folgenden tabelle sind einige solcher beispiele in kombination mit ableitung sinus. Für setzt du nun die ableitungen und zusammen mit in die formel der kettenregel ein: Sehen wir uns als ersten beispiel diese funktion an: Suggest as a translation of innere ableitung copy; Wir leiten g (x) ab und setzen anstelle des „x h (x) ein.
Jedoch müssen wir jetzt noch die kettenregel anwenden, da der exponent ≠ x ist.
Jedoch müssen wir jetzt noch die kettenregel anwenden, da der exponent ≠ x ist. Das multiplizieren mit h' (x) wird als „ nachdifferenzieren bezeichnet. Noch mehr beispiele findest du in unserem extra beitrag. In der folgenden tabelle sind einige solcher beispiele in kombination mit ableitung sinus. Ich heiße andreas schneider, wurde 1989 in münchen geboren und lebte bis sommer 2013 in erding. F(x) wird durch die ableitung g'(x) der inneren funktion g dividiert:. Für das integral ergibt sich somit:. „innere ableitung mal äußere ableitung. Danach wird die innere und die äußere ableitung miteinander multipliziert und anschließend eine rücksubstitution durchgeführt. „äußere ableitung mal innere ableitung. In dieser funktion sind zwei funktionen verknüpft: Nun ist, und damit ist eine stammfunktion von f gefunden. Innere ableitung mal äußere ableitung formaler kann man die kettenregel so aufschreiben:
Für setzt du nun die ableitungen und zusammen mit in die formel der kettenregel ein: Translate texts with the world's best machine translation technology, developed by the creators of linguee. Die innere und äußere funktion wird ermittelt und jeweils die ableitung gebildet. \begin{align*} f'(x)&=3x^2 \ \cdot 2 \cdot(x^3+2) \end{align*} Wenn wir diese regel jetzt auf unser beispiel anwenden, erhalten wir die folgende ableitungsfunktion:
Kettenregel Wurzelfunktion Mit Bruch Als Innere Funktion Mathelounge from www.mathelounge.de Zum erlernen der kettenregel eignet sich dieses einfache beispiel jedoch hervorragend. Je nach aussehen der funktion, kommen dabei eine oder mehrere der nachfolgenden regeln zum einsatz. Ableitungsregel erkennen, ableiten, kettenregel, produktregel,quotientenregelwenn noch spezielle fragen sind: Für das integral ergibt sich somit:. Es „stört die innere ableitung der linearen funktion g. Äußere funktion g(x) und ableitung g'(x): Translate texts with the world's best machine translation technology, developed by the creators of linguee. Die ableitung einer durch verkettung gebildeten funktion im punkt ist die „äußere ableitung ′, ausgewertet an der stelle (), mal der ableitung der inneren funktion ′, ausgewertet an der stelle.
Zur stelle im video springen.
In der folgenden tabelle sind einige solcher beispiele in kombination mit ableitung sinus. Je nach aussehen der funktion, kommen dabei eine oder mehrere der nachfolgenden regeln zum einsatz. Jedoch müssen wir jetzt noch die kettenregel anwenden, da der exponent ≠ x ist. Die innere funktion ist dabei v = x + 3, abgeleitet einfach v' = 1. Die innere ableitung mit = 4; Dabei ist f die äußere und g die innere funktion. Ableitungsregeln binomische formel bruchrechnen differenz drachenviereck dreieck dreisatz fläche integral kegel kreis kugel mitternachtsformel. F(x) wird durch die ableitung g'(x) der inneren funktion g dividiert:. Für setzt du nun die ableitungen und zusammen mit in die formel der kettenregel ein: Wenn wir diese regel jetzt auf unser beispiel anwenden, erhalten wir die folgende ableitungsfunktion: In dieser funktion sind zwei funktionen verknüpft: Dies bedeutet, dass die ableitung eines integrals nach seiner oberen grenze mit dem wert des integrands an der oberen grenze identisch ist. Y' = 3 · 2 · cos(u) y' = 6 · cos(3x) auch hier wird die klammer substituiert.
0 Response to "24+ großartig Bild Innere Ableitung / Mit Der Kettenregel Ableiten Touchdown Mathe / Zum erlernen der kettenregel eignet sich dieses einfache beispiel jedoch hervorragend."
0 Response to "24+ großartig Bild Innere Ableitung / Mit Der Kettenregel Ableiten Touchdown Mathe / Zum erlernen der kettenregel eignet sich dieses einfache beispiel jedoch hervorragend."
Post a Comment